Ò»¾º¼¼

English Ò»¾º¼¼¼¯ÍÅÆóÒµÓÊÏä

µÚ¶þ½Ú ¼ÆÊý×ÊÁϵÄÏÔÖøÐÔÄ¥Á·

×÷ÕߣºÐìÈÙÏé ³öÊéÉ磺Öйú¿ÆÑ§ÊÖÒÕ³öÊéÉç ¿¯ÐÐÈÕÆÚ£º2009Äê7ÔÂ

¹ØÓÚ¼ÆÊý×ÊÁÏÕâЩÏà¶ÔÊýÎÒÃÇÖ»ÖªËüÃÇµÄÆéá«£¬²»ÖªÆäÓÐÎÞͳ¼ÆÑ§ÒâÒ壬ֻÓÐͨ¹ýÏà¶ÔÊýµÄÏÔÖøÐÔÄ¥Á··½ÄÜÃ÷È·¡£³£ÓÃÒªÁìΪUÄ¥Á·Óëχ2Ä¥Á·¡£
Ò»¡¢ÂʵÄuÄ¥Á·
ÂʵÄuÄ¥Á·ÊÇÓ¦ÓùæÄ£½ÏΪ¹ãµÄÒ»ÖÖÏÔÖøÐÔÄ¥Á·ÒªÁ죬¿ÉÊÇÔÚÓÃÓÚÑù±¾ÂÊÓë×ÜÌåÂʽÏÁ¿Ê±£¬»òÁ½¸öÑù±¾ÂʽÏÁ¿Ê±£¬Ó¦µ±Ë¼Á¿Æä²î±ðÊÇ·ñÓÉÓÚ³éÑùÎó²îËùÔì³ÉµÄ¡£´óÑù±¾µÄÑù±¾ÂÊÂþÑܽüËÆÕý̬ÂþÑÜ£¬¿ÉÓÃÕý̬ÂþÑܵļÍÂÉÄ¥Á·Ñù±¾ÂÊÓë×ÜÌåÂÊ»òÁ½¸öÑù±¾Âʲî±ðµÄÏÔÖøÐÔ¡£ÆäÅжϱê׼Ϊ£º

£¨Ò»£©Ñù±¾ÂÊÓë×ÜÌåÂʵĽÏÁ¿
Ñù±¾ÂÊÓë×ÜÌåÂʽÏÁ¿µÄÄ¿µÄÊÇÍÆ¶Ï¸ÃÑù±¾Ëù´ú±íµÄ×ÜÌåÂÊÓëÒÑÖª×ÜÌåÂÊÊÇ·ñÏàͬ¡£¹«Ê½Îª£º

pΪÑù±¾ÂÊ£¬πΪ×ÜÌåÂÊ£¬σPΪÂʵıê×¼Îó£¬ÓÉ×ÜÌåÅÌËãµÃ³ö
ʾÀý3ª²4ª²3ƾ֤ÁÙ´²ÂÄÀú£¬Î¸Ê®¶þÖ¸³¦À£Ññ»¼ÕßÖУ¬Ò»Ñùƽ³£ÇéÐÎÏÂÓÐ20%µÄ²¡È˻ᱬ·¢Î¸³öѪ֢״£¬ÏÖijҽԺÊÓ²ìÉÕÉ˲¡ÈË152Àý£¬ÆäÖÐ48ÀýÉËǰÓйýθ³öѪ²¡Ê·£¬ÎÊÉËǰ»¼ÓÐθʮ¶þÖ¸³¦À£ÑñµÄÉÕÉ˲¡ÈËÊÇ·ñÈÝÒ×±¬·¢Î¸³öѪ £¿
¡¾½âÌâ°ì·¨¡¿
¿É½«¸ÃÀýÖÐθʮ¶þÖ¸³¦À£Ññ»¼ÕßÓÐ20%±¬·¢Î¸³öѪÂÊÊÓΪ×ÜÌåÂÊπ£¨ÊǰÑÈËÃǹ«ÈÏ»òÂÄÀúÊýÖµ×÷Ϊ×ÜÌåÂÊ£©¡£
1ª±½¨ÉèÄ¥Á·¼ÙÉ裺¼ÙÉ軼ÓÐθʮ¶þÖ¸³¦À£Ññ²¡µÄÉÕÉ˲¡ÈËθ³öѪÂÊ£¨p£©ÓëÒ»Ñùƽ³£Î¸Ê®¶þÖ¸³¦À£Ññ»¼ÕߵijöѪÂÊ£¨π£©ÎÞ²î±ð£¬¼´Ñù±¾ÂÊ£¨P£©ÊÇÓÉ×ÜÌåÂÊ£¨π£©ÖÐËæ»ú³éÈ¡µÄ£¬Á½ÕßÎÞ²î±ð¡£ÊÂʵÉÏ£¬ÊµÑéÑо¿Ð§¹û×ÜÊÇÓÐÁ½ÖÖÇéÐΣºÒ»ÖÖÊǽÓÊÜËù½¨ÉèµÄÄ¥Á·¼ÙÉ裬һÖÖÊǾܾø½¨ÉèµÄÄ¥Á·¼ÙÉè¡£
¢ÙÉèǰÕßΪH0£ºπ=π0 £»¢ÚÉèºóÕßΪH1£ºπ≠π0¡£
2ª±È·Á¢ÏÔÖøÐÔË®×¼£ºα=0ª±05
3ª±ÅÌËãuÖµ£º½«Ê¾Àý3ª²4ª²3ÖÐÊý¾Ý´úÈ빫ʽ£¨3ª²4ª²6£©£º

4ª±È·¶¨PÖµ£ºÓÉÓÚu=3ª±58£¬¶ø3ª±58£¾2ª±58£¬¹ÊP£¼0ª±01¡£
5ª±ÍƶϽáÂÛ£ºÔÚα=0ª±05Ë®×¼ÉÏ£¬¾Ü¾øH0£¬½ÓÊÜH1£¬ÒòP£¼0ª±01£¬ÒÔÊÇÓкÜÊÇÏÔÖøÐÔ²î±ð£¬ÉËǰ»¼ÓÐθʮ¶þÖ¸³¦À£ÑñµÄÉÕÉ˲¡ÈË£¬Æäθ³öѪÂÊÓëÒ»Ñùƽ³£Î¸Ê®¶þÖ¸³¦À£Ññ»¼ÕߵijöѪÂÊÓÐʵÖʲî±ð£¬¿ÉÒÔΪ»¼Î¸Ê®¶þÖ¸³¦À£ÑñµÄÉÕÉ˲¡È˽ÏÒ»Ñùƽ³£Î¸À£Ññ»¼ÕßÈÝÒ×±¬·¢Î¸³öѪ¡£
£¨¶þ£©Á½¸öÑù±¾ÂʽÏÁ¿µÄUÄ¥Á·
Á½¸öÑù±¾ÂʽÏÁ¿µÄÄ¿µÄÊÇÍÆ¶ÏÁ½¸öÑù±¾¸÷×Ô´ú±íµÄÁ½¸ö×ÜÌåÂÊÊÇ·ñÏàͬ¡£³£ÓÃUÄ¥Á·ºÍχ2Ä¥Á·£º
UÄ¥Á·ÅÌË㹫ʽ£º

ʾÀý3ª²4ª²4ÈçijҽԺ¶Ô1 329ÀýÉÕÉ˲¡È˾ÙÐÐÓ¦¼¤ÐÔÀ£Ññ³öѪµÄÔ¤·ÀÐÔÖÎÁÆ£¬ÓÐ56Àý±¬·¢ÁËθ³öѪ£¬·¢²¡ÂÊΪ4ª±21%£¬1 670ÀýÉËÇéÏàËÆµÄ²¡ÈËδ¾ÙÐÐÔ¤·ÀÐÔÖÎÁÆ£¬Æä³öѪÂÊ´ï8ª±32%£¬ÎÊÁ½×éÑù±¾Ó¦¼¤ÐÔÀ£Ññ³öѪµÄ·¢²¡ÂÊÓÐÎÞ²î±ð £¿
¡¾½âÌâ°ì·¨¡¿
1ª±½¨ÉèÄ¥Á·¼ÙÉ裺H0£ºπ1=π2£¬H1£ºπ1≠π2¡£
2ª±È·¶¨ÏÔÖøÐÔˮƽ£ºα=0ª±05¡£
3ª±ÅÌËãuÖµ£ºn1=1329£¬X1=56£¬P1=0ª±0421£¨56/1329£©£¬n2=1670£¬X2=139£¬P2=0ª±0823£¨139/1670£©¡£
´úÈ빫ʽ£¨3ª²4ª²9£©¡¢£¨3ª²4ª²10£©¡¢£¨3ª²4ª²7£©£º

4ª±È·¶¨PÖµ£ºÒò4ª±25£¾2ª±58£¬¹ÊP£¼0ª±01¡£
5ª±ÍƶϽáÂÛ£ºÔÚα=0ª±05µÄË®×¼ÉÏ£¬¾Ü¾øH0£¬½ÓÊÜH1¡£ÒòP£¼0ª±01£¬²î±ðÓи߶ÈÏÔÖøÐÔ£¬¹ÊÒÔΪԤ·ÀÐÔÖÎÁÆ×éÓë±ÈÕÕ×éµÄÓ¦¼¤ÐÔÀ£Ññ³öѪÂÊÓÐʵÖʲî±ð£¬Ô¤·À×éÓ¦¼¤ÐÔÀ£Ññ³öѪ±¬·¢ÂʵÍÓÚ±ÈÕÕ×飬Ԥ·ÀÖÎÁÆÓÐÓá£
¶þ¡¢χ2Ä¥Á·
χ2Ä¥Á·ÊÇÓ¢¹úͳ¼ÆÑ§¼ÒKª±pearsonÌá³öµÄ£¬ºó¾­YatesУÕýˢУ¬ÏÖÒѳÉΪרÓÃÓÚÁ½×é°Ù·ÖÂʵij£ÓÃÏÔÖøÐÔÄ¥Á·¹«Ê½¡£“χ”ΪϣÀ°×Öĸ£¬¶ÁÒôΪ“Kai”£¬¹Êχ2Ä¥Á··¨ÓֳƓ¿¨ÒªÁ씡£Ó¦ÓùæÄ£ÓëUÄ¥Á·²»ÍêÈ«Ïàͬ£¬Ç°ÕßÖ÷ÒªÕë¶ÔÑù±¾ÂÊÓë×ÜÌåÂʾÙÐнÏÁ¿£¬Ò²¿ÉÓÃÓÚÁ½¸öÑù±¾ÂʵĽÏÁ¿ £»¶øχ2Ä¥Á·Ö÷ÒªÓÃÓÚÍÆ¶ÏÁ½¸ö¼°Á½¸öÒÔÉÏ×ÜÌåÂÊ£¨»ò×é³É±È£©Ö®¼äµÄÄ¥Á·£¬¼ì²éÁ½¸ö·ÖÀà±äÁ¿Ö®¼äÓÐÎÞ¹ØÏµ£¨»ò¹ØÁª£©¡£
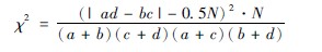
£¨Ò»£©χ2Ä¥Á·»ù±¾¹«Ê½ÓëÅÌËãÒªÁì
χ2Ä¥Á·µÄ»ù±¾¹«Ê½£º

AΪÏÖʵÊÓ²ìÊý£¬TΪÀíÂÛÅÌËãÖµ£¬ ∑£¨Ï£À°×Öĸ£¬¶ÁÒôSigma£©ÌåÏÖ×ܺÍ¡£¾ÙÀýÚ¹ÊÍÆäÒªÁì¼°Ô­Àí¡£
ʾÀý3ª²4ª²5ijҽԺ¶ÔÒÑÍùÖÎÁƵÄÉÕÉ˲¢·¢°ÜѪ֢µÄ²¡Àý¾ÙÐлØÊ×ÐÔ×ܽᣬ205Àý´óÃæ»ýÉÕÉ˲¡È˲¢·¢°ÜѪ֢µÄÀýÊýΪ43£¬¶ø134ÀýÖеÈÉÕÉËÃæ»ý²¡È˲¢·¢°ÜѪ֢µÄÀýÊýΪ13£¬ÎʰÜѪ֢µÄ±¬·¢ÓëÉÕÉËÃæ»ýÓÐÎÞ¹ØÏµ £¿
¡¾½âÌâ°ì·¨¡¿
1ª±½«ÊÓ²ì×ÊÁÏÁÐÈë±í£¨±í3ª²4ª²2£©ÖУº

2ª±½¨Éè“Ä¥Á·¼ÙÉ蔣¨ÎÞЧ¼ÙÉ裩£¬¼´ÈôÊÇ´óÃæ»ýÓëÖеÈÃæ»ýÉÕÉË×éµÄ°ÜѪ֢±¬·¢ÂÊÖ®¼äûÓÐʵÖʲî±ð£¬ËµÃ÷°ÜѪ֢µÄ±¬·¢ÂÊ£¨21%ºÍ9ª±7%£©À´×Ôͳһ×ÜÌ壬ÕâÖÖ²î±ðÊÇÓɳéÑùÎó²îÔì³ÉµÄ¡£Æ¾Ö¤Õâ¸ö¼ÙÉ裬¿ÉÒÔÓÃÁ½¸ö×éµÄºÏ¼Æ·¢²¡ÂÊ£¨16ª±5%£©Îª¼ÙÉèµÄÀíÂÛ×ÜÌ壬²¢ÒÔ´Ë×÷ΪÅÌËãÖµµÄÀíÂÛ»ù´¡¡£
3ª±ÅÌËã¸÷×éµÄÀíÂÛÊýTÖµ£ºÀíÂÛÊýÖµÊÇÆ¾Ö¤Ä¥Á·¼ÙÉèÍÆÂÛµÄÁ½×鲡ÈËÊýÖÐÓ¦Óеı¬·¢°ÜѪ֢ÈËÊý£¬¼´Á½×é¶¼°´16ª±5%»¼²¡ÂÊÅÌË㣬Ӧµ±Óм¸¶àÈË»¼²¡Óë²»»¼²¡¡£´óÃæ»ýÉÕÉË×é205ÈË£¬³ËÒԺϼƻ¼²¡ÂÊ16ª±5%£¬¼´ÊÇ´óÃæ»ýÉÕÉË×éÀíÂÛÉÏÓ¦µ±±¬·¢°ÜѪ֢µÄÈËÊý£¨205×16ª±5%=33ª±83£©£¬¼´ÎªÀíÂÛÖµ £»¶øÎ´±¬·¢°ÜѪ֢µÄÈËÊýΪ£¨205-33ª±83=171ª±17£©171ª±17¡£Í¬Àí£¬ÔÙÇó³öÖеÈÉÕÉËÃæ»ý×鲡È˵ÄÀíÂÛֵΪ22ª±11£¬²»±¬·¢°ÜѪ֢µÄÀíÂÛֵΪ£¨134-22ª±11=111ª±89£©111ª±89¡£
½«ÅÌËãµÄÀíÂÛÖµ»ãÈë±í3ª²4ª²3ÖС£

4ª±´úÈëχ2Öµ¹«Ê½£¨3ª²4ª²11£©ÅÌËãχ2Öµ£º

χ2ÖµÎÞµ¥Î»£¬ÓëËüÏìÓ¦µÄ¸ÅÂÊΪ5%µÄχ2Öµ£¨χ2 0ª±05£©ºÍ¸ÅÂÊΪ1%µÄχ2Öµ£¨χ20ª±01£©£¬¿ÉÓÉ¿¨·½¼òÃ÷½çÖµ±í3ª²4ª²4Öвé³ö¡£
ÈôÊÇÉÏÊöÄ¥Á·×¼È·£¬A-T²îÖµ²»»á̫С£¬ÈçA-TÏà²îÌ«´ó£¬Ä¥Á·¼ÙÉ轨ÉèµÄ¿ÉÄÜÐԾͲ»´ó¡£
5ª±Æ¾Ö¤χ2ÖµÓë×ÔÓɶȲéχ2Öµ±í£ºÊ×ÏÈÈ·¶¨×ÔÓɶȣ¨df»òn′»òr£¬£©£¬ÒòËĸñ±íÖÐÓÐËĸöÀíÂÛÖµ£¬Ö»ÒªÏÈÓó˳ý·¨Çó³öÈκÎÒ»¸ö£¬ÆäÓàÈý¸ö¿ÉÓüõ·¨Çó³ö¡£ÕâÖÖ±ØÐèÏÈÓó˳ý·¨Çó³öÀíÂÛÖµµÄ¸ñ×ÓÊý½Ð×ÔÓɶÈ¡£ÅÌËãÒªÁ죺
n′=£¨ÐÐÊý-1£©£¨ÁÐÊý-1£©£¬Ëĸñ±íÖÐΪÁ½ÐС¢Á½ÁУ¬¹Ê£º
n′=£¨2-1£©£¨2-1£©=1¡£
²é¼òÃ÷χ2Öµ±í£¨±í3ª²4ª²4£¬»ò²éÓйØÊé¼®¿¨·½½çÖµ±í£©£ºµ±n′=1ʱ£¬χ20ª±05=6ª±63£¬±¾Àýχ2=7ª±47£¬´óÓÚ6ª±63£¬ÒÑÁè¼Ýχ20ª±05=6ª±63ˮƽ£¬µ«Ð¡ÓÚχ20ª±005=7ª±88ˮƽ£¬¹ÊP£¼0ª±01¡£

£¨¶þ£©Ëĸñ±í×ÊÁϵÄχ2Ä¥Á·£¨Á½¸öÑù±¾ÂʵĽÏÁ¿£©
Ëĸñ±í×ÊÁϵÄχ2Ä¥Á··¨ÊÇÓ¦ÓÃ×îΪÆÕ±éºÍ×îΪÀû±ãµÄÒ»ÖÖÒªÁ죬ËüËùÄ¥Á·µÄ½öÊÇÁ½¸öÂʵĽÏÁ¿¡ £»ù±¾Ä£Ê½Í¼¡¢¹«Ê½ºÍЧ¹ûÅжϱê×¼ÈçÏ£º

4ª±ÅÌËã°ì·¨£º
£¨1£©ÏȽ«ÎÊÌâÖеÄÊý¾Ý°´Ëĸñ±íģʽͼÐÎÊ½ÖÆ±íÅÅÁУ¨ÓÃÏÖʵÊý×Ö£¬²»±Ø°Ù·ÖÂÊ£©¡£
£¨2£©´úÈ빫ʽ(3ª²4ª²12)£¬ÅÌËãχ2Öµ£¬χ2ÖµÊÇͳ¼ÆÖµ£¬ÊýÖµÔ½´óͳ¼ÆÒâÒåÔ½´ó¡£
£¨3£©Æ¾Ö¤χ2ÖµµÄ¾Þϸ£¬°´PÖµÅжϱê׼ȷ¶¨PÖµ¾Þϸ¡£
£¨4£©×ö³öͳ¼Æ½áÂÛ¡£
ʾÀý3ª²4ª²6Óü׷¨ÖÎÁÆ´óÃæ»ýÉÕÉË£¨¼××飩71Àý£¬ÓÐ52Àý²¢·¢È«ÉíÐÔѬȾ£¬ÓÃÒÒ·¨ÖÎÁƵĴóÃæ»ýÉÕÉË£¨ÒÒ×飩42Àý£¬ÓÐ3Àý²¢·¢È«ÉíÐÔѬȾ¡£ÎÊÁ½×éѬȾ±¬·¢ÂÊÓÐÎÞͳ¼ÆÑ§²î±ð £¿
¡¾½âÌâ°ì·¨¡¿
1ª±°´Ëĸñ±íÄ£Ê½ÖØÐÂÖÆ±í£¨±í3ª²4ª²7£©£º

2ª±ÅÌËãχ2Öµ(¹«Ê½3ª²4ª²2)£º

3ª±ÅÌËã×ÔÓɶȣºÓÉÓÚ×ÔÓɶȣ¨n′£©=1{£¨ÐÐ-1£©£¨ÁÐ-1£©=£¨2-1£©£¨2-1£©}£¬¹Ê±¾Ñо¿×ÔÓɶÈΪ1£¨1×1£©¡£
4ª±°´±í3ª²4ª²4±ê׼ȷ¶¨PÖµ£ºÒòχ2ÖµÔÚ3ª±84ºÍ6ª±63Ö®¼ä£¬¹ÊP£¼0ª±05£¬×é¼äÓÐÏÔÖøÐÔ²î±ð¡£
5ª±Ð§¹ûÅжϣºÒòP£¼0ª±05£¬ËµÃ÷ÒÒ·¨ÖÎÁƵĴóÃæ»ýÉÕÉ˲¡È˲¢·¢È«ÉíÐÔѬȾµÄʱ»úµÍÓÚ¼××é¡£
£¨Èý£©ÐÐ×Áбí×ÊÁϵÄχ2Ä¥Á·
ÒÔÉϽ²µÄÊÇÁ½¸öÑù±¾ÂʵÄÄ¥Á·£¬ÓÃËĸñ±í·¨£¬µ«µ±ÐÐÊý»òÁÐÊý´óÓÚ2ʱ£¬Ó¦µ±ÓÃÐÐ×Áбí×ÊÁϵÄχ2Ä¥Á·£¬ÓÖ³ÆR×C±í×ÊÁÏ¡ £»ù±¾¹«Ê½£º

AΪ¸÷¸ñ×ÓµÄÏÖʵƵÊý£¬nR¡¢nCΪ¸÷ÏÖʵƵÊýËù¶ÔÓ¦µÄÐеĺϼÆÊýºÍÁеĺϼÆÊý£¬NΪ×ܺϼÆÊý¡£
¸Ã¹«Ê½ÊÇÓÉ»ù±¾¹«Ê½×ª»»¶øÀ´£¬²»ÐèÒªÇóÀíÂÛÆµÊý£¬Àû±ãÊÊÓá£
ʾÀý3ª²3ª²7¼×ÒÒ±ûÈýËùҽԺͬÆÚ¶Ôijҩ¾ÙÐп¹Ñ¬È¾ÁÆÐ§ÊӲ죬¼×ÔºÊÓ²ìÁË29Àý£¬ÓÐÓã¨23Àý£©ÂÊΪ79ª±3%£¬ÒÒÔºÊÓ²ìÁË44Àý£¬ÓÐÓÃ(14Àý)ÂÊΪ31ª±8%£¬±ûÒ½ÔºÊÓ²ìÁË11Àý£¬ÓÐÓã¨3Àý£©ÂÊΪ27ª±3%£¨×ÊÁϼû±í3ª²4ª²8£©¡£ÎÊ3ËùÒ½Ôº¿¹Ñ¬È¾ÖÎÁƵÄ×ÜÌåÓÐÓÃÂÊÊÇ·ñÓÐÏÔÖøÒâÒå £¿

¡¾½âÌâ°ì·¨¡¿
1ª±½¨ÉèÄ¥Á·¼ÙÉ裺H0£º3ËùÒ½ÔºµÄÓÐÓÃÂÊÏàµÈ£¬π1=π2 £»H1£º3ËùÒ½ÔºµÄÓÐÓÃÂʲ»ÏàµÈ£¬H1£ºπ1≠π2¡£
2ª±È·¶¨ÏÔÖøÐÔˮƽ£ºα£½0ª±05¡£
3ª±Æ¾Ö¤χ2»ù±¾ÅÌË㹫ʽ£¨3ª²4ª²13£©ÅÌËãχ2Öµ£º

4ª±È·¶¨×ÔÓɶȣ¨n′£©=£¨2-1£©£¨3-1£©= 2¡£
5ª±²éχ2Öµ±íÈ·¶¨PÖµ£º²é±í3ª²4ª²4¿ÉÖª£¬χ20ª±05£¨2£©=10ª±60£¬½ñχ2=17ª±907£¬£¾χ20ª±005(2)£¬¹ÊP£¼0ª±005¡£
6ª±ÍƶϽáÂÛ£ºÔÚα=0ª±05Ë®×¼ÉÏ£¬¾Ü¾øH0£¬ÎüÊÕH1£¬¹Ê¸ÃÒ©ÔÚÈýËùÒ½ÔºµÄ¿¹Ñ¬È¾Ð§¹û±£´æÍ³¼ÆÑ§²î±ð£¨P£¼0ª±005£©¡£
£¨ËÄ£© ¶þÁжà¸ñ×ÊÁÏχ2ֵĥÁ·
¶þÁжà¸ñ×ÊÁÏχ2ֵĥÁ·Ò²³Æ¶à¸öÑù±¾ÂʵĽÏÁ¿£¬ÆäÄ¿µÄÊÇÍÆ¶ÏËüÃÇËù´ú±íµÄ×ÜÌåÂÊÊÇ·ñÏàµÈ¡£¸ÃÀà×ÊÁϵĻù±¾Êý¾ÝÓÐRÐУ¨Ñù±¾¸öÊý£©£¬2ÁУ¨Ö¸Ñù±¾µÄÑôÐÔÊýÓëÒõÐÔÊý£©£¬ÒÔÊÇÓÖ½ÐR×2ÁÐÁª±í»òÁÐÁª±í(contingency table)¡£
¹«Ê½Í¬»ù±¾¹«Ê½£¨3ª²4ª²13£©£¬ÅÌËã³öµÄ×ÊÁÏ¿ÉÒÔ¾ÙÐÐÏà¹ØÆÊÎö¡£
ʾÀý3ª²4ª²8£¨°Ù·Ö±ÈÏ໥½ÏÁ¿£©£ºÄ³Ò½ÔºÊÓ²ìÑÏÖØÉÕÉ˲¡ÈËÔçÆÚÑÓ³ÙÖÎÁƶÔÐݿ˱¬·¢ÂÊÓÐÎÞÓ°Ï죬ÊÓ²ìʱ¼ä»®·ÖΪÉ˺ó´óÓÚ18Сʱ£¨¼××飩¡¢É˺ó6¡«18Сʱ£¨ÒÒ×飩ºÍ6СʱÒÔÄÚ£¨±û×飩3¸ö½ÓÊÜÖÎÁÆÐ¡×飬Ч¹û»ãÓÚ±í3ª²4ª²9ÖС£ÎÊÑÓ³ÙÖÎÁƶÔÉÕÉËÐݿ˵ı¬·¢ÂÊÓÐÎÞͳ¼ÆÑ§²î±ð£¬»òÏ໥֮¼äÓÐÎÞ¹ØÁª £¿

¡¾½âÌâ°ì·¨¡¿
1ª±½¨ÉèÄ¥Á·¼ÙÉ裺ÉèH0£ºÈýÖÖ²î±ðÖÎÁÆÊ±¼äÐݿ˱¬·¢ÂÊÏàµÈ £»ÉèH0£ºπ1=π2 £»ÈýÖÖ²î±ðÖÎÁÆÊ±¼äÐݿ˱¬·¢Âʲ»ÍêÈ«ÏàµÈ£¬H1£ºπ1≠π2¡£
2ª±È·¶¨ÏÔÖøÐÔˮƽ£ºα=0ª±05¡£
3ª±ÅÌËãχ2Öµ£º½«±í3ª²4ª²9ÖеÄÊý×Ö´úÈ빫ʽ3ª²4ª²13£¬µÃ£º

4ª±ÅÌËã×ÔÓɶȣº£¨n′£©=£¨2-1£©£¨3-1£©= 2¡£
5ª±È·¶¨PÖµ£ºÒòn′=2£¬²éχ2Öµ±í£¨3ª²4ª²4£©£¬χ20ª±005£¨2£©=10ª±60£¬±¾Ñо¿χ2£½24ª±776£¾χ20ª±005£¨2£©£¨10ª±60£©Ë®Æ½£¬P£¼0ª±005¡£
6ª±ÍƶÏЧ¹û£ºÔÚα=0ª±05Ë®×¼ÉÏ£¬¾Ü¾øH0£¬½ÓÊÜH1£¬ÒòP£¼0ª±005£¬²î±ðÓи߶ÈÏÔÖøÐÔ£¬¹ÊÒÔΪÑÏÖØÉÕÉ˲¡ÈËÔçÆÚ½ÓÊÜÖÎÁƶÔÐݿ˱¬·¢ÂÊÓÐÏÔ×ÅÓ°Ïì×÷Ó㬼´¿É½µµÍÐݿ˱¬·¢ÂÊ¡£
7ª±ÎªÁ˽øÒ»²½ËµÃ÷ËüÃÇÖ®¼äµÄÇ×½ü¹ØÁªË®Æ½£¬¿Éƾ֤¹«Ê½ÅÌËã¹ØÁªÏµÊý£º

ƾ֤Ëĸñ±íµÄpearsonÁÐÁªÏµÊýÖµrÔÚ0¡«1Ö®¼ä¡£rÖµÓú¿¿½ü0£¬ËµÃ÷Á½¸ö·ÖÀà±äÁ¿µÄ¹ØÏµÓúÈõ£¬rÖµÓú¿¿½ü1£¬ËµÃ÷¹ØÏµÓúÇ×½ü¡£ÓÉÓÚr=0ª±462£¬ËµÃ÷ÑÓ³ÙÖÎÁÆÊ±¼äÓëÐݿ˱¬·¢ÂʾßÓÐÒ»¶¨µÄ¹ØÁªÐÔ¡£
ʾÀý3ª²4ª²9£¨Ñù±¾½á¹¹±ÈÏ໥½ÏÁ¿£©£ºÄ³Ôº2004ÄêÊÕÖÎС¶ùÉÕÉË145Àý£¬ÖÂÉËÒòËØ£ºÈÈÒº150Àý£¬»ðÑæ10Àý£¬µçÁ÷7Àý£¬ÆäËû23Àý £»³ÉÈËÉÕÉË188ÈË£¬ÖÂÉËÒòËØ£ºÈÈÒº50Àý£¬»ðÑæ48Àý£¬µçÁ÷18Àý£¬ÆäËû72Àý£¨×ÊÁϼû±í3ª²4ª²10£©£¬ÎÊС¶ùÉÕÉËÔµ¹ÊÔ­ÓÉÓë³ÉÈËÉÕÉËÔµ¹ÊÔ­ÓÉÏ໥֮¼äÊÇ·ñÓйØÁªÐÔ £¿

¡¾½âÌâ°ì·¨¡¿
1ª±½¨ÉèÄ¥Á·¼ÙÉèºÍÈ·¶¨ÏÔÖøÐÔˮƽ£º¢ÙÉèH0£ºÁ½×鲡ÈËÉËÒò×é³ÉÏàµÈ£¬H0£ºπ1=π2 £»¢ÚÉèH1£ºÁ½×鲡ÈËÉËÒò×é³É²»ÍêÈ«ÏàµÈ£¬H1£ºπ1≠π2¡£
2ª±ÏÔÖøË®Æ½£ºα=0ª±05¡£
3ª±ÅÌËãχ2Öµ£º¿É½«±í3ª²4ª²10ÖеÄÊý×Ö´úÈ빫ʽ£¨3ª²4ª²13£©£¬µÃ£º

4ª±ÅÌËã×ÔÓɶȣº£¨n′£©=£¨2-1£©£¨4-1£©= 3¡£
5ª±È·¶¨PÖµ£ºn′=3£¬²éχ2Öµ±í£¨3ª²4ª²4£©£¬χ20ª±005£¨3£©=12ª±84£¬½ñχ2=70ª±14£¬¹ÊP£¼0ª±005¡£
6ª±ÍƶÏЧ¹û£ºÔÚα=0ª±05Ë®×¼ÉÏ£¬¾Ü¾øH0£¬½ÓÊÜH1£¬ÒòP£¼0ª±005£¬²î±ðÓкÜÊÇÏÔÖøÒâÒ壬¹ÊÒÔΪС¶ùÉÕÉ˲¡È˵ÄÖÂÉËÒòËØ×é³É±ÈÓë³ÉÈ˲î±ð£¬ËµÃ÷С¶ùÒÔÈÈÒºÌÌÉ˶à¼û£¬ÆäËûÉËÒò×é³É±ÈµÍÓÚ³ÉÈË×é¡£
7ª±ÎªÁ˽øÒ»²½ËµÃ÷ËüÃÇÖ®¼äµÄÇ×½ü¹ØÁªË®Æ½£¬¿Éƾ֤¹«Ê½3ª²4ª²14ÅÌËã¹ØÁªÏµÊý£º

ÓÉÓÚr=0ª±417£¬ËµÃ÷¶ùͯÉÕÉËÉËÒòÓë³ÉÄêÈËÉÕÉËÉËÒòÖ®¼ä¾ßÓÐÒ»¶¨µÄ¹ØÁªÐÔ¡£ÓÉÓÚ¶ùͯÈÈÒºÌÌÉ˱¬·¢ÂÊΪ72ª±4%£¬³ÉÈËÈÈÒºÌÌÉ˱¬·¢ÂÊΪ26ª±6%£¬Á½ÕßÊÇ·ñ±£´æÏÔÖøÐÔ²î±ð£¬ÐèÒª¾ÙÐÐÁ½Á½½ÏÁ¿·½¿ÉÃ÷È·¡£
£¨Î壩 ¶àÁжà¸ñ×ÊÁÏχ2ֵĥÁ·
ÁÙ´²¾­³£Óöµ½3×é»ò3×éÒÔÉϵĶà¸ñ×ÊÁÏ£¬ÆäÅÌËãÒªÁìÈÔÒÔ¹«Ê½£¨3ª²4ª²13£©Îª»ù´¡ ¡£ÏÖ¾ÙÀý˵Ã÷£º
ʾÀý3ª²4ª²10£¨¼ÆÊý×ÊÁÏÏà¹ØÆÊÎö£©£ºÄ³ÉÕÉËÖÐÐÄÊÓ²ìÁË176ÀýÎüÈëÐÔËðÉ˲¡È˵IJî±ðÉËÇéÓëºôÎüÄÑÌâµÄ¸÷×ÔÀýÊý£¬ÎʺôÎüÄÑÌâˮƽÓëÎüÈëËðÉËÉËÇéÖ®¼äÓÐÎÞ¹ØÁªÐÔ£¨Êý¾Ý×ÊÁÏ»ãÓÚ±í3ª²4ª²11ÖУ© £¿

¡¾½âÌâ°ì·¨¡¿
±¾ÀýµÄÉè¼ÆºÍÆÊÎöÄ¿µÄÓëÉÏÊöÀý×Ó²î±ð¡£Ëü²¢·ÇÊÇÁ½¸öÑù±¾ÂÊÓë×ÜÌåÂÊ¡¢¶à¸öÑù±¾ÂÊÓë×ÜÌåÂÊ»ò×é³É±ÈÖ®¼äµÄ½ÏÁ¿£¬¶øÊǼòµ¥Ñù±¾×ÔÉíµÄ½ÏÁ¿£¬Ã¿¸ö¹¤¾ß»®·Ö°´Á½ÖÖ±ê¼Ç·Ö¼¶£¨ÉËÇéÓëºôÎüÄÑÌ⣩£¬ÊôÓÚË«ÏàÂʵÄÅÌË㣬ĿµÄÊÇÍÆ²âÁ½ÖÖ±ê¼ÇÖ®¼äÓÐÎÞÏà¹ØÐÔ¡£
1ª±½¨ÉèÄ¥Á·¼ÙÉ裺¢ÙÉèH0£ººôÎüÄÑÌâˮƽÓëÎüÈëÐÔËðÉËˮƽÎÞ¹Ø £»¢ÚÉèH1£ººôÎüÄÑÌâˮƽÓëÎüÈëÐÔËðÉËˮƽÓйØ¡£
2ª±È·¶¨ÏÔÖøË®×¼£ºα=0ª±05¡£
3ª±ÅÌËãχ2Öµ£º½«±í3ª²4ª²11ÖеÄÊý×Ö´úÈ빫ʽ3ª²4ª²13£¬µÃ£º

4ª±ÅÌËã×ÔÓɶȣº£¨n′£©=£¨3-1£©£¨3-1£©= 4¡£
5ª±È·¶¨PÖµ£ºn′=4£¬²éχ2½çÖµ±í£¨3ª²24£©£¬χ20ª±005(4)=14ª±86£¬±¾Ñо¿χ2=179ª±623£¬£¾χ20ª±005(4)£¨14ª±86£©Ë®×¼£¬P£¼0ª±005¡£
6ª±ÍƶÏЧ¹û£ºÔÚα=0ª±05Ë®×¼ÉÏ£¬¾Ü¾øH0£¬½ÓÊÜH1£¬ÒòP£¼0ª±005£¬²î±ðÓи߶ÈÏÔÖøÐÔ£¬¹ÊÒÔΪºôÎüÄÑÌâˮƽÓëÎüÈëÐÔËðÉËˮƽ¹ØÁªÇ×½ü¡£
7ª±ÎªÁ˽øÒ»²½ËµÃ÷ËüÃÇÖ®¼äµÄÇ×½ü¹ØÁªË®Æ½£¬¿Éƾ֤¹«Ê½£¨3ª²4ª²14£©ÅÌËã¹ØÁªÏµÊý£º

ÓÉÓÚr=0ª±7316£¬ËµÃ÷ºôÎüÄÑÌâˮƽÓëÎüÈëËðˮƽ¾ßÓÐÏÔ×ŵĹØÁªÐÔ£¬¼´ÎüÈëËðÉËÔ½ÖØ£¬ºôÎüÄÑÌâÔ½ÑÏÖØ¡£
£¨Áù£© Åä¶Ô¼ÆÊý×ÊÁϵÄχ2Ä¥Á·

¼ÆÊý×ÊÁϵÄÅä¶ÔÉè¼Æ³£ÓÃÓÚÁ½ÖÖÄ¥Á·ÒªÁ죬Èç×÷ÓýÒªÁì¡¢Õï¶ÏÒªÁìµÄ½ÏÁ¿¡£ÆäÌØµãÊǶÔÑù±¾Öеĸ÷ÊӲ쵥λ»®·ÖÓÃÁ½ÖÖÒªÁì´¦Öóͷ££¬È»ºóÊÓ²ìÁ½ÖÖÒªÁìµÄЧ¹û¡£´ËÀà×ÊÁÏ¿ÉÓÃÅä¶Ôχ2Ä¥Á·£¬½ÏÁ¿Á½¸öÂÊÖ®¼äÊÇ·ñÓвî±ð¡£´ÓÅä¶ÔÉè¼ÆÀ´Ëµ£¬Åä¶Ô¼ÆÊý×ÊÁÏÓëǰ±ßËùÏÈÈݵÄÅä¶Ô¼ÆÊý×ÊÁÏÊÇÏàͬµÄ£¬¶¼ÊǰÑÁ½ÖÖ´¦Öóͷ£ÒòËØ»®·ÖÊ©¼ÓÓÚÌõ¼þÏàËÆµÄÊÜÊÔ¹¤¾ßÉÏ£¬»òÏȺóÊ©ÓÚͳһ¹¤¾ßÉÏ¡£Åä¶Ô¼Í¼ÊÔÑéЧ¹ûÈçΪ¼ÆÁ¿×ÊÁÏ£¬¼´Êô¼ÆÁ¿Åä¶Ô×ÊÁÏ £»ÈôЧ¹ûΪ¼ÆÊý×ÊÁÏ£¬¼´ÊôÓÚ¼ÆÊýÅä¶Ô×ÊÁÏ¡£Åä¶Ô¼ÆÊý×ÊÁϵÄχ2Ä¥Á·°üÀ¨Á½¸öÄÚÈÝ£º¢ÙÆÊÎöËüÃǵÄÏà¹Ø¹ØÏµ £»¢ÚÆÊÎö´¦Öóͷ£Ð§¹ûÓÐÎÞ²î±ð¡£
ʾÀý3ª²4ª²11£º100¸öÉî¢ò¶ÈÉÕÉË´´Ã棬ÿ¸ö´´Ãæ»®·ÖÓÃÁ½ÖÖÒªÁ죨¼×·¨ÓëÒÒ·¨£©Õï¶Ï¡£Ð§¹û£º¼×·¨ÑôÐÔÕßΪ67¸ö£¬ÒÒ·¨ÑôÐÔÕß50¸ö £»ÆäÖм×ÒÒÁ½·¨¾ùÑôÐÔÕߣ¨a£©39¸ö£¬¼×ÒÒÁ½·¨¾ùÒõÐÔÕߣ¨d£©22¸ö£¬¼×·¨ÑôÐÔÒÒ·¨ÒõÐÔÕߣ¨d£©28¸ö£¬ÒÒ·¨ÑôÐÔ¼×·¨ÒõÐÔÕߣ¨c£©11¸ö£¨×ÊÁϼû±í3ª²4ª²12£©¡£Îʼ×ÒÒÁ½ÖÖÒªÁìµÄÕï¶ÏЧ¹ûÓÐÎÞ¹ØÁª¼°Í³¼ÆÑ§²î±ð £¿
¡¾½âÌâ°ì·¨¡¿
µÚÒ»²½£ºÆÊÎöÁ½ÖÖÕï¶ÏЧ¹ûÓÐÎÞÏà¹Ø¹ØÏµ£¬Ã¿¸ö¹¤¾ß°´Á½ÖÖ´¦Öóͷ£½á¹¹·Ö×飬¹Ê¿ÉÓÃËĸñχ2Ä¥Á·¹«Ê½ÅÌË㣬ÍƶÏÁ½ÖÖÕï¶ÏÒªÁìÖ®¼äÓÐÎÞÏà¹Ø¹ØÏµ£º
1ª±½¨ÉèÄ¥Á·¼ÙÉ裺¢ÙÉèH0£º¼×ÒÒÕï¶ÏÒªÁìÖ®¼äÎÞ¹Ø £»¢ÚÉèH1£º¼×ÒÒÕï¶ÏÒªÁìÖ®¼äÓйØ¡£
2ª±È·¶¨ÏÔÖøË®×¼£ºα=0ª±05¡£

3ª±ÅÌËãχ2Öµ£º½«±í3ª²4ª²12ÖеÄÊý×Ö´úÈ빫ʽ3ª²4ª²12£¬µÃ£º

4ª±ÅÌËã×ÔÓɶȣº£¨n′£©=£¨2-1£©£¨2-1£©=1¡£
5ª±È·¶¨PÖµ£ºn′=1£¬²éχ2Öµ±í£¨3ª²4ª²4£©£¬χ20ª±05=3ª±841£¬χ20ª±01=6ª±635£¬±¾Ñо¿6ª±ÍƶÏЧ¹û£ºÔÚα=0ª±05Ë®×¼ÉÏ£¬¾Ü¾øH0£¬½ÓÊÜH1£¬ÒòP£¼0ª±05£¬²î±ðÓÐÏÔÖøÐÔ£¬¹ÊÒÔΪÁ½ÖÖÕï¶Ïˮƽ¹ØÁªÇ×½ü¡£
µÚ¶þ²½£ºÅÌËãÁ½ÖÖ´¦Öóͷ£Ð§¹ûÓÐÎÞ²î±ð£ºÅÌË㹫ʽΪ£¨3ª²4ª²15£©£º

1ª±½¨ÉèÄ¥Á·¼ÙÉ裺¢ÙÉèH0£ºÁ½×ÜÌåb=c £»¢ÚH1£ºÁ½×ÜÌåb≠c¡£
2ª±È·¶¨ÏÔÖøË®×¼£ºα=0ª±05
3ª±ÅÌËãχ2Öµ£º½«±í3ª²4ª²12ÖеÄÊý×Ö´úÈ빫ʽ3ª²4ª²15£¬µÃ£º

4ª±×ÔÓɶȣºn′=1¡£
5ª±È·¶¨PÖµ£ºn′=1£¬²éχ2Öµ±í£¨3ª²4ª²4£©£¬χ20ª±05=3ª±841£¬χ20ª±01=6ª±635£¬±¾Ñо¿χ2=6ª±564£¬½éÓÚχ20ª±005ºÍχ20ª±01Ë®×¼Ö®¼ä£¬¹ÊP£¼0ª±05¡£
6ª±ÍƶÏЧ¹û£ºÔÚα=0ª±05Ë®×¼ÉÏ£¬¾Ü¾øH0£¬½ÓÊÜH1£¬ÒòP£¼0ª±05£¬²î±ðÓÐÏÔÖøÐÔ£¬¹ÊÒÔΪ¼×ÒÒÁ½ÖÖÕï¶ÏÒªÁì¼òÖ±ÕïÂʲî±ð£¬¼×·¨¼òÖ±ÕïÂʸßÓÚÒÒ·¨¡£
7ª±¹ØÁªÐÔÆÊÎö£ºÆ¾Ö¤¹«Ê½3ª²4ª²14ÅÌËã¹ØÁªÏµÊý£º

ÓÉÓÚr=0ª±629£¬ËµÃ÷¼×ÒÒÁ½ÖÖÒªÁìµÄÕï¶ÏЧ¹û¹ØÁªÐÔ½ÏÇ¿£¬¼×·¨ÓÅÓÚÒÒ·¨¡£
£¨Æß£©Á½¸öСÑù±¾µÄχ2Ä¥Á·ÒªÁì
ÓÉÓÚχ2Ä¥Á·ÊÇÒÔÒ»Ìõƽ»¬ÇúÏßΪ»ù´¡£¬´óÑù±¾ËùµÃµÄ¸ÅÂÊÓëÆäÕæÕý¸ÅÂʺܿ¿½ü¡£µ±ÎªÐ¡Ñù±¾Ê±£¬Èçn£¼40£¨ÓÐÈËÒÔΪn£¼50£©Ê±£¬ÓÃǰ±ß½²µÄ´óÑù±¾½ÏÁ¿µÄuÄ¥Á·»òχ2Ä¥Á·¹«Ê½ÅÌËãЧ¹û¶¼½û¾øÈ·£¬»òÆ«Òнϴó£¬ÐèÒª½ÓÄÉСÑù±¾Ð£Õý¹«Ê½ÅÌËã¡£Á½¸öСÑù±¾µÄÄ¥Á·ÒªÁìÓÐÁ½ÖÖ£ºÒ»ÖÖÊÇÑù±¾£¨n£©Æ«Ð¡ £»Ò»ÖÖÊÇËĸñ±íÖÐÓÐÀíÂÛÆµÊýÖзºÆð0»ò1ʱ¡£ÏÖ¾ÙÀý˵Ã÷£º

1ª±Ð¡Ñù±¾Ð£Õý¹«Ê½£¨3ª²4ª²16£©£º

ʾÀý3ª²3ª²12£ºÓü×ÒÒÁ½ÖÖÒ©ÎïÖÎÁÆÌÇÄò²¡»µ¾Ò´´Ãæ¸÷30¸ö£¬¼×Ò©×éñ£ºÛ±¬·¢ÂÊΪ70%£¬ÒÒÒ©×éñ°ºÛ±¬·¢ÂÊΪ50%¡£ÎÊÁ½×éÖ®¼äµÄÁÆÐ§ÓÐÎÞͳ¼ÆÑ§²î±ð £¿
¡¾½âÌâ°ì·¨¡¿
£¨1£©Æ¾Ö¤ÌâÖÐÊý¾ÝÁбí3ª²4ª²13£º

£¨2£©½«±í3ª²4ª²13ÖÐÊý×Ö´úÈ빫ʽ(3ª²4ª²16)£¬µÃ£º

£¨3£©Ð§¹ûÅжϣºÒòn′=1£¬χ2Öµ=7ª±050£¼χ20ª±01£¨6ª±635£©£¬¹ÊP£¼0ª±01¡£×é¼äÓкÜÊÇÏÔÖø²î±ð¡£
£¨4£©½áÂÛ£º¼×Ò©ÖÎÁƵĴ´Ãæñ£ºÛ±¬·¢ÂʵÍÓÚÒÒÒ©ÖÎÁÆ×é¡£
СÑù±¾ÂʵÄχ2¹«Ê½ÅÌËãЧ¹ûÓÅÓÚ´óÑù±¾ÂʵÄχ2¹«Ê½£¬ÓÈÆäÔÚÆäËûÄ¥Á·¹«Ê½ËùµÃ¸ÅÂÊ¿¿½üÄ¥Á·Ë®×¼Ê±£¬ÒËÓÃСÑù±¾ÂʵÄχ2¹«Ê½¡£ÏÖÔÚÐí¶àͳ¼ÆÑ§ÕßÒÔΪ£º¢ÙСÑù±¾ÂʵÄχ2¹«Ê½Îó²î×îС£¬×îΪ³£Óà £»¢ÚÒÑÍùÓÐÒ»ÖÖÎó½â£¬Ö»Óе±ÀýÊýСÓÚ30ʱ£¬»òÀíÂÛÆµÊýСÓÚ5ʱ£¬χ2Ô­¹«Ê½ÅÌËãÖµÖÐÓÐÎó²î£¬²»È»²»±Ø¾ÙÐÐУÕý¡£Êµ¼ù֤ʵ£¬Ö»ÒªÊÇÅжÏP=0ª±05»òP=0ª±01µÄÏÔÖøÄ¥Á·£¬ÓÃУÕý¹«Ê½Ò»¶¨ÓÅÓÚ»ù±¾¹«Ê½£¬×ÝÈ»ÀýÊý´óÓÚ30£¬»òÀíÂÛÆµÊý´óÓÚ5£¬½ÓÄÉУÕý¹«Ê½Ò²±Èχ2Ô­ÅÌËãÒªÁìÎó²îС¡£
2ª± Á½×éÊý¾ÝÖÐÓÐ1»ò0µÄСÑù±¾×ÊÁÏÅÌË㣺ǰ±ßÒÑÐðÊöÁËСÑù±¾ÂʵÄχ2ÅÌË㹫ʽÓëÒªÁ죬µ«ÔÚÏÖʵÊÂÇéÖУ¬Ð¡Ñù±¾×ÊÁϾ­³£·ºÆðÀíÂÛÆµÊýСÓÚ1µÄÇéÐΣ¬¼´T£¼1¡£ÕâÖÖ×ÊÁϲ»ÒËÓÃСÑù±¾ÅÌË㹫ʽÅÌË㣬¸ü²»¿ÉÓÃËĸñ±í¹«Ê½ÅÌË㣬µ«ÒËÓÃËĸñ±íÈ·ÇиÅÂÊ·¨ÅÌË㡣ȷÇиÅÂÊ·¨ÊÇÓÉRª±Aª±FisherÌá³öµÄ£¬¹ÊÓÖ³ÆFisherÈ·ÇиÅÂÊÄ¥Á·¡£´Ë·¨±¾²»ÊôÓÚχ2Ä¥Á·ÁìÓò£¬µ«¿É×÷ΪËĸñ±í×ÊÁϼÙÉèÄ¥Á·µÄÔö²¹¡£ÏÈÈÝÈçÏ£º
È·ÇиÅÂÊ·¨ÖÖÖÖ×éºÏ¸ÅÂʵÄÅÌË㹫ʽ£¨3ª²4ª²17£©Îª£º

ʽÖÐa¡¢b¡¢c¡¢dµÄÒâÒåͬ±í3ª²4ª²5£¬£¡Îª½×³Ë·ûºÅ£¬N£¡=1×2×3×4×…×N£¬ÊýѧÉÏ»®¶¨£¡=1¡£Ò»Ñùƽ³£ÅÌËãÆ÷²»¿ÉÅÌËãN≥70µÄ½×³Ë£¬ÕâÖÖÇéÐÎÏÂÓöÔÊýÅÌËã¡£
Ëĸñ±íÖÐ|A-T|ÖµµÄÌØµã£º¢Ù¸÷¸ñÏàµÈ£¬Èç±í3ª²4ª²14µÄA-T£¬a¡¢dÁ½¸ñ¾ùΪ-1ª±4£¬b¡¢cÁ½¸ñ¾ùΪ+1ª±4£¬Æä¾ø¶ÔÖµÏàµÈ¡£Òò¶øÅÌËãijһËĸñ±íµÄ|A-T|ֵʱ£¬Ö»ÐèÅÌËã±íÖÐÈÎÒ»¸ñµÄ|A-T|Öµ¼´¿É £»¢ÚÒÀ´ÎÔö¼õËĸñ±íÖÐÈκÎÒ»¸ñµÄÊý¾Ý£¬¿ÉÁгöÖܱߺϼÆÎȹÌÌõ¼þÏÂÖÖÖÖ×éºÏµÄËĸñ±í£¬ÈçʾÀý3ª²4ª²13ÖеÄÎå¸öËĸñ±í£¬»®·ÖÅÌËãÆä|A-T|Öµ£¬ÁÐÓÚ±íÏ¡£Óɴ˿ɼû£¬Á½²àµÄ|A-T|Öµ½Ï´ó£¬¶øÖÐÐĵĽÏС¡£
ÖÖÖÖ×éºÏÏÂÀۼƸÅÂʵÄÅÌË㣺¢ÙË«²àÄ¥Á·£º°´¹«Ê½3ª²4ª²17»®·ÖÅÌËãÁ½²àËùÓÐ|A-T|ÖµµÄ¸÷Ëĸñ±íµÄPÖµ£¬È»ºóÏà¼Ó£¬¼´ÎªË«²àÄ¥Á·µÄPÖµ £»¢Úµ¥²àÄ¥Á·£º°´Ñо¿Ä¿µÄ£¬Ö»ÅÌËãÒ»²àµÄËùÓÐ|A-T|Öµ¼´ÊǼ°´óÓÚÑù±¾|A-T|ÖµµÃËĸñ±íµÄPÖµ£¬È»ºóÏà¼Ó£¬¼´Îªµ¥²àÄ¥Á·µÄPÖµ¡£
ʾÀý3ª²3ª²13£ºÄ³Ò½ÉúÓÃоÉÁ½ÖÖÒªÁìÖÎÁÆÉÕÉ˺óѪÐ鲡È˹²¼Æ27Àý£¬Ð§¹û»ãÓÚ±í3ª²4ª²14ÖУ¬ÎÊоÉÒ©ÎïµÄÁÆÐ§ÓÐÎÞ²î±ð £¿

¡¾½âÌâ°ì·¨¡¿
£¨1£©½¨ÉèÄ¥Á·¼ÙÉ裺H0£ºÐÂÒ©Óë¾ÉÒ©ÖÎÓúÂÊÏàµÈ£¬¼´π1=π2 £»H1£ºÐÂÒ©Óë¾ÉÒ©ÖÎÓúÂʲ»ÏàµÈ£¬¼´π1≠π2¡£
£¨2£©È·¶¨ÏÔÖøË®×¼£ºα=0ª±05¡£
£¨3£©ÅÌËã¸ÅÂÊP£º±¾×éN=25£¼40£¬ÇÒÓÖT£¼5£¬¹ÊÒËÓÃÈ·ÇиÅÂÊ·¨¡£Óɱí3ª²4ª²14¿É¼û£¬×îСÖܱߺϼÆÊýΪ4£¬¹ÊËùÓпÉÄܵÄ×éºÏÓÐ5ÖÖ£¬»®·ÖΪ£º

£¨4£©È·¶¨PÖµ£¬×ö³öÍÆ¶Ï½áÂÛ£ºPÖµÓ¦¼´ÊÇËùÓÐСÓÚÑù±¾µãµÄÖÖÖÖ¸ÅÂÊÖ®ºÍ£¬±¾ÀýÇкÏÑù±¾µãÒªÇóÕßΪ£¨1£©¡¢£¨2£©¡¢£¨5£©£¬Òò´Ë£¬PÖµµÄ×éºÏΪÉÏÊöÈýµãÖ®ºÍ£¬¼´P=0ª±0166+0ª±1423+0ª±1079=0ª±2668¡£°´α=0ª±05Ë®×¼£¬P£¾0ª±05¡£²»¿ÉÒÔΪÁ½ÖÖÁÆ·¨µÄÖÎÓúÂÊÓÐͳ¼ÆÑ§²î±ð¡£
3ª±²éËĸñ±íÏÔÖøÐÔÄ¥Á·ÓÃ±í£¨CÖµ±í£©·¨£º´ËÒªÁìÇáÓ¯Ò×ÐУ¬±¾ÎIJ»ÔÙÐðÊö£¬¿É²ÎÕÕÓйØ×ÊÁÏÅÌÎÊ¡£

ÍøÕ¾µØÍ¼