Ò»¾º¼¼

English Ò»¾º¼¼¼¯ÍÅÆóÒµÓÊÏä

µÚÈý½Ú Ö±Ï߻ع鷽³Ì

×÷ÕߣºÐìÈÙÏé ³öÊéÉ磺Öйú¿ÆÑ§ÊÖÒÕ³öÊéÉç ¿¯ÐÐÈÕÆÚ£º2009Äê7ÔÂ

Ò»¡¢Ö±Ï߻ع鷽³ÌµÄ¿´·¨
Ëùν»Ø¹é £¬ÊÇ˵µ±Ò»ÖÖ¹ÛÏó(y)ÊÜÁíÒ»ÖÖÕ÷Ïó(x)µÄÓ°Ïì £¬ÖÂʹ(y)Ëæ×ÅÕ÷Ïó(x)µÄ±ä»»¶øÓмÍÂɵı任ʱ £¬ÕâÖÖЭͬ±äÒìµÄ¹ØÏµÔÚͳ¼ÆÑ§ÖгÆÖ®Îª»Ø¹é ¡£»Ø¹éÆÊÎöÊǵ±Ñо¿Á½ÖÖÊÂÎï¼äµÄÏ໥¹ØÏµÊ± £¬ÐÎòÆäÖÐÒ»ÖÖÊÂÎïÒÀ´æÁíÒ»ÖÖÊÂÎï±ä»»µÄ¼ÍÂÉ ¡£Æä±í´ïʽΪ£º


ʽÖÐyΪԤ¼ÆÖµ£»αΪ³£Êý £¬Ò²³ÆÎª½Ø¾à £¬¼´µ±x¼´ÊÇÁãʱÔڻعéÖ±ÏßÖáÉϵĽ»µã£»bΪ»Ø¹éϵÊý £¬ËüÊǻعéÖ±ÏßµÄбÂÊ £¬ÆäÒâÒåÊÇÿµ±x±ä»»Ò»¸öµ¥Î» £¬ÔòyËæÖ®±ä»»b¸öµ¥Î» ¡£
Ö±Ï߻عéÆÊÎöµÄÄ¿µÄÊÇÇó³öÒ»ÌõÄÜÈ·Çз´Ó¦±¾×ÊÁϵĻعé±ä»»¼ÍÂɵÄÖ±Ïß·½³Ìʽ £¬ÒÔͨ¹ý´ËʽÓÉxÖµÔ¤¼ÆyÖµ ¡£Ò»Ñùƽ³£ÒªÇ󻨹鷽³ÌÄÜÖª×ãÏÂÊöÌõ¼þ£º¼´´Ó»Ø¹é·½³ÌÍÆËã³öµÄyÖµÓëÏÖʵyÖµÖ®²îµÄƽ·½ºÍ£Û∑(y-y)£Ý2ÊÇ×îСֵ ¡£È·Á¢Ö±Ï߻ع鷽³ÌʽµÄÒªº¦ÊÇÇó³ö»Ø¹éϵÊýbºÍ½Ø¾àα £¬ËüÃǵÄÅÌË㹫ʽΪ£º
¶þ¡¢ÇóÖ±Ï߻ع鷽³ÌµÄ»ù±¾ÒªÁì
£¨Ò»£©Ð¡Ñù±¾µÄÅÌËãÒªÁì
µ±Ô­Ê¼Êý¾Ýδ¼¸£¨n<40£©Ê± £¬¿ÉÖ±½Ó°´Êµ²âÊý¾ÝX¡¢Y £¬Çó∑X¡¢∑Χ2¡¢∑Y¡¢∑Y2¼°∑XY ¡£´úÈëÏÂÁй«Ê½(3ª²9ª²6)¡¢(3ª²9ª²7) ¡¢(3ª²9ª²8) ¡¢(3ª²9ª²9) £¬Çóα¡¢bºÍÖ±Ï߻ع鷽³Ì ¡£

ʽÖÐIxx=∑£¨x-x£©£¨y-y£©(Àë¾ù²î»ýºÍ)
Ixx=∑£¨x-X£©2£¨Àë¾ù²îƽ·½ºÍ£©

ʾÀý3ª²9ª²3ijÑо¿Ö°Ô±ÊÓ²ìθ³¦ÓªÑø½ºÄÒµÄÓªÑø¼ÛÖµ £¬ÓÃÃ÷È·Êó×öÊÔÑé £¬¶ÔÿֻÃ÷È·ÊóÔÚÊÓ²ìʱ´úθ³¦ÓªÑø½ºÄÒµÄÓÃÁ¿£¨g£©ºÍÌåÖØÔöÌíÁ¿£¨g£©»ãÈë±í£¨3ª²9ª²4£©ÖÐ £¬Æ¾Ö¤Ô­Ê¼×ÊÁÏÊÔ×÷Ö±Ï߻عéÆÊÎö ¡£

¡¾½âÌâ°ì·¨¡¿
1ª±ÏÈÁгöÖ±Ï߻عéÆÊÎöÅÌËã±í £¬Çó»ù´¡ÊýÖµ£¨±í3ª²9ª²5£©£º

2ª±Æ¾Ö¤±í3ª²9ª²5ÖеĻù´¡ÊýÖµÅÌËãx¡¢yµÄ¾ùÊý£¨x¡¢y£©¡¢Àë¾ù²îƽ·½ºÍ£¨Ixx¡¢Iyy£©¡¢Àë¾ù²î»ýºÍ£¨Ixy£© ¡£

3ª±Æ¾Ö¤¹«Ê½(3ª²9ª²6)¡¢(3ª²9ª²7) ¡¢(3ª²9ª²8) £¬Çób¡¢αºÍ»Ø¹é·½³Ì ¡£

4ª±°´ÇóµÃµÄÖ±Ï߻ع鷽³Ì £¬ÔÚXÖµ¹æÄ£ÄÚí§ÒâÈ¡Á½µã£¨x1y1£© £¬£¨x22£© £¬ÏàÁ¬¼´µÃ»Ø¹éÖ±Ïß ¡£
£¨¶þ£©´óÑù±¾µÄÇó·¨
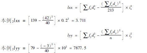
µ±Ô­Ê¼×ÊÁϽÏÁ¿¶àʱ £¬½ÓСÑù±¾´¦Öóͷ£¹«Ê½ÅÌËãÆäÊÂÇéÁ¿Ï൱µÄ´ó £¬¿É°´Ö±ÏßÏà¹ØÏµÊýµÄ¼ò½ÝÒªÁìÏÈ»æÖÆË«±äÁ¿ÆµÊý±í £¬È»ºóÔÙÆ¾Ö¤±íÖеĻù´¡ÊýÖµ»®·ÖÅÌËãx¡¢yµÄ¾ùÊý£¨x¡¢y£©¡¢Àë¾ù²îƽ·½ºÍ£¨Ixx¡¢Iyy£©¡¢Àë¾ù²î»ýºÍ£¨Ixy£© ¡£ÏÖÒÔʾÀý3ª²9ª²2ΪÀý £¬ÊÔÓüò½ÝÒªÁìÅÌËã»Ø¹é·½³Ì ¡£

ʾÀý3ª²9ª²2Ñù±¾Êýn=40 £¬×é¾àix=0ª±2 £¬×é¾àiy=10 £¬(∑fxdx)=43 £¬∑fxd2x=139 £¬∑fYdY=-3 £¬∑fyd2y=79 £¬∑fdXdY=39 ¡£
¡¾½âÌâ°ì·¨¡¿
1ª±ÅÌËã¾ùÊý£º±¾Àý¼Ù¶¨¾ùÊý£¨È¡×éÖÐÖµ £¬x0Ϊ“¡«2ª±0”×éµÄ×éÖÐÖµ£© ¡£

2ª±Àë¾ù²îµÄƽ·½ºÍ£º

3ª±Àë¾ù²î»ýºÍ£º

4ª±°´¹«Ê½£¨3ª²9ª²6£© £¬Ç󻨹éϵÊýb£º

Ö±Ï߻ع鷽³Ì£º=29ª±32£«22ª±76x
´ð£ºÆäÖ±Ï߻ع鷽³ÌΪ=29ª±32£«22ª±76x ¡£
Èý¡¢»Ø¹éϵÊýµÄÏÔÖøÐÔÄ¥Á·
»Ø¹éϵÊýÏÔÖøÐÔÄ¥Á·µÄÒâÒåÓëÏà¹ØÏµÊýµÄÏÔÖøÐÔÄ¥Á·µÄÒâÒåÏàͬ £¬Æä»Ø¹éϵÊý(b)Ò²ÊÇÒò³éÑùÑо¿µÃÀ´µÄ £¬×ÝÈ»ÑÏ¿á°´Ëæ»ú³éÑù £¬»Ø¹éϵÊýÒ²±£´æ³éÑùÎó²îµÄÎÊÌâ £¬Ò²Ó¦¾ÙÐÐÏÔÖøÐÔÄ¥Á· ¡£µ±y±äÁ¿Ìý´ÓÕý̬ÂþÑÜʱ £¬»Ø¹éϵÊýµÄÏÔÖøÐÔÄ¥Á·¿ÉÒÔÓÃtÄ¥Á· £¬Ò²¿ÉÒÔÓ÷½²îÆÊÎöÒªÁìÇóµÃ ¡£±¾½Ú½öÏÈÈÝtÄ¥Á·ÒªÁì ¡£
ÓÃtÄ¥Á·ÒªÁìÄ¥Á·»Ø¹éϵÊý£¨b£©ÊÇ·ñÏÔÖø £¬ÏÈÆ¾Ö¤ÒÔϹ«Ê½»®·ÖÅÌËãsy¡¢xºÍ»Ø¹éϵÊýµÄ±ê×¼Îó£¨sb£© £¬È»ºóÅÌËãtÖµ ¡£Æä¹«Ê½»®·ÖΪ (3ª²9ª²10)¡¢(3ª²9ª²11) ¡¢(3ª²9ª²12)£º

µ±ÇóµÃtÖµºó £¬Æ¾Ö¤×ÔÓɶȣ¨n-2£©²étÖµ±í £¬Ö÷ҪĿµÄÊÇÓëP=0ª±05Ï൱µÄÁÙ½çÖµ£Ût£¨n′£©0ª±05£Ý¾ÙÐнÏÁ¿ ¡£ÈôÊÇÇóµÃµÄtÖµ< t£¨n′£©0ª±05 £¬ÔòP>0ª±05 £¬»Ø¹éϵÊýÎÞÏÔÖøÒâÒ壻Ïà·´ £¬ÈôÊÇÇóµÃµÄtÖµ> t£¨n′£©0ª±05 £¬ÔòP<0ª±05 £¬»Ø¹éϵÊýÓÐÏÔÖøÒâÒ壻ÈôÊÇÇóµÃµÄtÖµ> t£¨n′£©0ª±01 £¬ÔòP<0ª±01 £¬»Ø¹éϵÊýÓкÜÊÇÏÔÖøÒâÒå ¡£
ÏÖÒÔÀý3ª²9ª²3ΪÀý £¬Ä¥Á·Æä»Ø¹éϵÊýÓÐÎÞÏÔÖøÒâÒå ¡£
ÓÉÓÚÒÑÖªIyy=4234ª±1 £¬  Ixx=75906ª±4 £¬  Ixy=16843ª±2 £¬n=10 £¬ b=0ª±2219 £¬½«ÒÔÉÏÊý¾Ý»®·Ö´úÈ빫ʽ£¨3ª²9ª²10£©¡¢£¨3ª²9ª²11£©¡¢£¨3ª²9ª²12£© £¬µÃ£º

²ét½çÖµ±í£¨¸½±í4£©£ºn′=8£¨10-2£©Ê± £¬t£¨8£©0ª±01=3ª±355 ¡£±¾Àýt=7ª±7587 £¬p<0ª±01 £¬ »Ø¹éϵÊýÓкÜÊÇÏÔÖøÒâÒå ¡£
ËÄ¡¢Ïà¹ØºÍ»Ø¹éÆÊÎöӦע֨µÄÊÂÏî
1ª± Ã÷È·Ïà¹ØÓë»Ø¹éÆÊÎöµÄʵÖÊÄÚÈÝ
Ïà¹ØÏµÊý˵Ã÷Á½±äÁ¿¼ä¹ØÏµµÄÇ×½üˮƽ £¬»Ø¹é·½³Ì˵Ã÷Á½±äÁ¿¼äµÄÊýÄ¿¹ØÏµ £¬Á½Õß˵Ã÷µÄÎÊÌâ²î±ð £¬Ö®¼äÓÐÏà¹Ø¹ØÏµ ¡£Òò´Ë £¬ÈôÊǻعéϵÊýÏÔÖøÐÔÄ¥Á·ÓÐÏÔÖøÐԵϰ £¬Ïà¹ØÏµÊýÒ²Ò»¶¨ÊÇÏÔÖøµÄ £¬·´Ö®ÒàÈ» ¡£
2ª±×¼È·Ã÷È·Ïà¹ØÆÊÎöµÄ×÷ÓÃ
Ïà¹ØÆÊÎöÖ»ÊÇÒÔÏà¹ØÏµÊýÀ´ÐÎòÁ½¸ö±äÁ¿¼äÏ໥¹ØÏµµÄÇ×½üˮƽºÍÆ«Ïò £¬²¢²»¿ÉÆÊÎöÁ½ÊÂÎï»òÕ÷Ïó¼ä±£´æÁªÏµµÄʵÖÊ ¡£²¢ÇÒÏà¹Ø²¢·×Æç¶¨¾ÍÊÇÒò¹û¹ØÏµ £¬Çв»¿É´¿´âÒÀÀµÏà¹ØÏµÊý»ò»Ø¹éϵÊýµÄÏÔÖøÐÔ֤ʵÒò¹û¹ØÏµÖ®±£´æ ¡£ÒªÖ¤ÊµÁ½ÊÂÎï¼äµÄÒò¹û¹ØÏµ £¬±ØÐèÆ¾½åרҵ֪ʶ´ÓÀíÂÛÉϼÓÒÔÆÊÎö ¡£¿ÉÊÇ £¬µ±ÊÂÎï¼äµÄÒò¹û¹ØÏµÎ´±»ÊìϤǰ £¬Ïà¹ØÆÊÎö¿ÉΪÀíÂÛÑо¿ÌṩÏßË÷ ¡£
3ª±²»Òª°ÑºÁÎÞ¹ØÁªµÄÁ½¸öÊÂÎï»òÕ÷ÏóÓÃÀ´×÷Ïà¹Ø»ò»Ø¹éÆÊÎö £¬²»È»ÊÇûÓÐÒâÒåµÄ ¡£ÁíÍâ £¬Ïà¹ØÆÊÎöֻ˵Ã÷Ïà¹Ø ¡£
4ª±²»Òª°ÑÏà¹ØÏÔÖøÐÔ¾ÞϸÎó½âΪÏà¹ØË®Æ½µÄ¾Þϸ ¡£Ïà¹ØÏµÊýÊÇ˵Ã÷Á½ÊÂÎï¼äÇ×½üˮƽµÄ £¬ rµÄ¾ø¶ÔÖµÔ½¿¿½üÓÚ1 £¬Ïà¹ØÔ½Ç×½ü£»Ô½¿¿½ü0 £¬ÔòÏà¹ØË®Æ½Ô½ËÉÉ¢ ¡£Ïà¹ØÏµÊýµÄÏÔÖøÐÔÄ¥Á·ÊÇ˵Ã÷ÓɳéÑùÎó²îÒýÆðÕâÑù´óµÄrÖµµÄ¿ÉÄÜÐÔÓжà´ó ¡£P>0ª±05˵Ã÷ÓɳéÑùÎó²îÒýÆðÕâÑù´óµÄrÖµµÄ¿ÉÄÜÐÔ´óÓÚ5% £¬Òò´Ë¶ø²»É¨³ýËü³é×ÔÓÚÎÞÏà¹ØµÄ×ÜÌå ¡£Ö»ÓÐP≤0ª±05 £¬ r²ÅÓÐÒâÒå ¡£
5ª±ÔڻعéÆÊÎöÖÐ £¬ÓÉxÍÆËãy»òÓÉyÍÆËãx  £¬Æä»Ø¹é·½³Ì²î±ð £¬²»¿É»ìÓà ¡£ÍÆË㹫ʽÈçÏ£º

6ª±Ïà¹ØÓë»Ø¹éµÄÇø±ðºÍÁªÏµ
Ïà¹ØÌåÏÖÁ½±äÁ¿¼äµÄÏ໥¹ØÏµÊÇ˫ƫÏòµÄ ¡£¶ø»Ø¹éÔòÌåÏÖyËæx¶ø×ª±ä £¬ÕâÖÖ¹ØÏµÊǵ¥Æ«ÏòµÄ ¡£Ò½Ñ§×ÊÁÏÖеÄÓÐЩ×ÊÁÏÓÃÏà¹ØÌåÏÖ½ÏÏàÒË £¬ºÃ±ÈÐÖµÜÓë½ãÃüäµÄÉí³¤¹ØÏµ¡¢È˵ÄÉí³¤Óëǰ±Û³¤Ö®¼äµÄ¹ØÏµµÈ×ÊÁÏ ¡£µ«ÓÐЩ×ÊÁÏÓÃÏà¹ØºÍ»Ø¹é¶¼²»ÏàÒË £¬´ËʱÐëÊÓÑо¿ÐèÒª¶ø¶¨ ¡£¾ÍÒ»Ñùƽ³£ÅÌËã³ÌÐòÀ´Ëµ £¬ÊÇÏÈÇó³öÏà¹ØÏµÊýr²¢¶ÔÆä¾ÙÐмÙÉèÄ¥Á· £¬ÈôÊÇrÏÔÖø²¢ÓоÙÐлعéÆÊÎöÖ®ÐëÒª £¬ÔÙ½¨Éè»Ø¹é·½³Ì ¡£
7ª±ÊʺÏ×÷Ïà¹ØºÍ»Ø¹éÆÊÎöµÄ×ÊÁÏͨ³£ÓÐÁ½ÖÖ×ÊÁÏ
£¨1£©Ò»¸ö±äÁ¿xÊÇÑ¡¶¨µÄ £¬ÁíÒ»¸ö±äÁ¿yÊÇ´ÓÕý̬ÂþÑܵÄ×ÜÌåÖÐËæ»ú³éÈ¡µÄ £¬ÒË×÷»Ø¹éÆÊÎö ¡£
£¨2£©Á½±äÁ¿x¡¢y£¨»òx1¡¢x2£©¶¼ÊÇ´ÓÕý̬ÂþÑܵÄ×ÜÌåÖÐËæ»ú³éÈ¡µÄ £¬¼´ÊÇÕý̬˫±äÁ¿ÖеÄËæ»úÑù±¾ ¡£Õâʱ £¬ÈôÐèÒªÓÉÒ»¸ö±äÁ¿ÍÆËãÁíÒ»¸ö±äÁ¿¿É×÷»Ø¹éÆÊÎö£»ÈôÖ»Ðè˵Ã÷Á½±äÁ¿¼äµÄÏ໥¹ØÏµ¿É×÷Ïà¹ØÆÊÎö ¡£ÈôÊDZäÁ¿£¨Ò»¸ö»òÁ½¸ö£©³ÊÏÔ×ÅÆ«Ì¬Ê± £¬Ðë¾­ÓÉÊʵ±µÄ±äÁ¿´ú»»£¨Èç¶ÔÊý´ú»»µÈ£© £¬Ê¹×ÊÁϽÓÊÜÕý̬ÂþÑܺóÔÙ×öÏà¹ØÓë»Ø¹éÆÊÎö £¬»òÕß½ÓÄÉÖÈÏà¹Ø·¨ ¡£

ÍøÕ¾µØÍ¼